なぜ 2分の10が5 2になるのですか 数学 解決済 16 12 05 教えて Goo
平方根の有理化 なぜ
平方根の有理化 なぜ-



中3数学 平方根 苦手な有理化を10分で克服 たけのこ塾 勉強が苦手な中学生のやる気をのばす



ルートの計算で分数の分母を有理化しないといけない理由とは さびねこ中学校



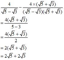
これの の指針の部分の1 2 2 2 3 2に着目する理由がわかりません Clear



有理化 もう一度やり直しの算数 数学



平方根 分母の根号 ルート をなくす 有理化 苦手な数学を簡単に



有理化 部分分数分解 Wolfram Alphaを使って数学を勉強しよう



分数を有理化する理由とコツ 理系のための備忘録



数学i 少し難しい有理化 Youtube



平方根 ルート 分数の分母の有理化のやり方がわかる3つのステップ Qikeru 学びを楽しくわかりやすく



中3数学 平方根 分母の有理化 Youtube



分母の有理化 分数の平方根で分母のルートを消すやり方 リョースケ大学



中学数学 平方根 のコツ 有理化 加減乗除 展開



平方根 ルート 分数の分母の有理化のやり方がわかる3つのステップ Qikeru 学びを楽しくわかりやすく



理系ぶろぐ 人気ブログランキング



分母の有理化 分数の平方根で分母のルートを消すやり方 リョースケ大学



平方根 2 ルートと平方根の違い バカでもわかる 中学数学



分数を有理化する理由とコツ 理系のための備忘録



平方根 有理化とは 中学数学 定期テスト対策サイト



有理化とは サイエンスの人気 最新記事を集めました はてな



ルートの計算で分数の分母を有理化しないといけない理由とは さびねこ中学校



平方根 分母の有理化のやり方はこれでバッチリ 数スタ



有理化が分かりません 単純な有理化はできるのですが 少し頭を Yahoo 知恵袋



平方根 分母の根号 ルート をなくす 有理化 苦手な数学を簡単に



なぜ中学の数学で分母を有理化する必要があるのですか 問題を解いていても Yahoo 知恵袋



平方根 分母の有理化のやり方はこれでバッチリ 数スタ



平方根 ルート 分数の分母の有理化のやり方がわかる3つのステップ Qikeru 学びを楽しくわかりやすく



平方根 ルート の計算や問題の解き方を完璧に理解しよう Studyplus スタディプラス



中3数学 平方根 苦手な有理化を10分で克服 たけのこ塾 勉強が苦手な中学生のやる気をのばす



中3数学 平方根 苦手な有理化を10分で克服 たけのこ塾 勉強が苦手な中学生のやる気をのばす



平方根 有理化 チーム エン



なぜ中学の数学で分母を有理化する必要があるのですか 問題を解いていても Yahoo 知恵袋



ルートの中身が絶対値に なんで場合分けが必要なのか 数スタ



中3数学 平方根 苦手な有理化を10分で克服 たけのこ塾 勉強が苦手な中学生のやる気をのばす



高卒認定試験数学 ポイント解説と勉強法 有理化ついて 大問1 ひっそりと物理や数学を解説する



平方根って何 なぜ必要 まぜこぜ情報局



なぜ有理化するのか 一夜漬け高校数学312 有理化とは Youtube



中3数学 平方根 苦手な有理化を10分で克服 たけのこ塾 勉強が苦手な中学生のやる気をのばす



平方根って何 なぜ必要 まぜこぜ情報局



2倍時短 分母の有理化の無駄を省けば計算スピードに差が付く 超わかる中学数学 Youtube



平方根の足し算と引き算 ルート計算のやり方や分数の求め方 リョースケ大学



なぜ 2分の10が5 2になるのですか 数学 解決済 16 12 05 教えて Goo



宇宙を歩く高校数学 基礎



平方根の有理化ってなぜ行うのかといわれたのですが何故でしょうか 私的に Yahoo 知恵袋



中3 数学 無料学習プリント教材



問題は計算をしなさい で 有理化しなさいと言われていないのになぜわざわざ有理化をする Clear



なぜ有理化するのか 一夜漬け高校数学312 有理化とは Youtube



数学 質問解答 分母の有理化って どうやればいいの 平方根 中3 中学数学 質問ありがとうございました 行間 ぎょうのあいだ 先生



高校数学 平方根の計算 分母の有理化 受験の月



なぜ ルート 平方根 の中身を足し算 引き算しちゃいけないの Qikeru 学びを楽しくわかりやすく



中3数学 平方根 苦手な有理化を10分で克服 たけのこ塾 勉強が苦手な中学生のやる気をのばす



平方根 分母の有理化のやり方はこれでバッチリ 数スタ



平方根の有理化の問題です この問題の答えを 回答や途中式を見たんですけどどうしても理 Clear



平方根 ルート の重要な計算方法まとめ 数学fun



なぜルート3分の2から3分のルート6になるのか分かりません わかる方教えてください Clear



ルートの極限 と応用公式 不定形でわかる有理化を使うポイントと効率的な解法 青春マスマティック



Math 超簡単 有理化 分母に根号がない形にする 働きアリ



分母に項が3つある場合の有理化 高校数学の美しい物語



平方根 ルート の重要な計算方法まとめ 数学fun



中学の数学 平方根 を理解して受験を乗り切ろう 札幌市 学習塾 受験 チーム個別指導塾 大成会



3



中学数学 平方根 のコツ 有理化 加減乗除 展開



毎日問題を解こう 17 苦手な数学を簡単に



平方根とは 東大生が平方根の計算方法や覚え方を伝授 高校生向け受験応援メディア 受験のミカタ



なぜ 0 5が 2 2 になるのかが分かりません Clear



分母の有理化 分数の平方根で分母のルートを消すやり方 リョースケ大学



平方根 2 ルートと平方根の違い バカでもわかる 中学数学



分母を有理化する理由ってなんですか なんだか約分の逆をしてい Yahoo 知恵袋



中3数学 平方根 苦手な有理化を10分で克服 たけのこ塾 勉強が苦手な中学生のやる気をのばす



なぜ中学の数学で分母を有理化する必要があるのですか 問題を解いていても Yahoo 知恵袋



平方根の 割り算と有理化 看護学校の受験数学 中学数学 を分かりやすく図解で説明 Kazアカデミー 大阪の看護学校 看護予備校



分母の有理化 分数の平方根で分母のルートを消すやり方 リョースケ大学



Math 超簡単 有理化 分母に根号がない形にする 働きアリ



分母を有理化する問題なのですが 2行目からなぜそのような式になるのかわかりません Clear



高校数学平方根有理化 画像の問題がわかりません 分母のマイナス5の Yahoo 知恵袋



有理化とは やり方を分かりやすく解説 練習問題つき 高校生向け受験応援メディア 受験のミカタ



平方根 ルート 分数の分母の有理化のやり方がわかる3つのステップ Qikeru 学びを楽しくわかりやすく



1



平方根の計算です なぜ分母が整数なのに有理化をするので Yahoo 知恵袋



平方根 分母の有理化のやり方はこれでバッチリ 数スタ



中学数学 平方根 のコツ 有理化 加減乗除 展開



分母の有理化 分数の平方根で分母のルートを消すやり方 リョースケ大学



2倍時短 分母の有理化の無駄を省けば計算スピードに差が付く 超わかる中学数学 Youtube



平方根 ルート の重要な計算方法まとめ 数学fun



平方根 有理化とは 中学数学 定期テスト対策サイト



中学数学 平方根 のコツ 有理化 加減乗除 展開



中3数学 平方根 苦手な有理化を10分で克服 たけのこ塾 勉強が苦手な中学生のやる気をのばす



増補改訂版 中学校3年分の数学が教えられるほどよくわかる 書籍案内 ベレ出版



複雑なルートの分数の有理化のやり方と問題 理系ラボ



分母を有理化する理由ってなんですか なんだか約分の逆をしてい Yahoo 知恵袋



分母の有理化をする理由 1 Youtube



1



ルート3分のルート2をルート6分の2 に変える理由を教えてください ル 数学 教えて Goo



有理化とは やり方を分かりやすく解説 練習問題つき 高校生向け受験応援メディア 受験のミカタ



急募です この問題は有理化の時になぜ 上の分母にマイナスをかける Yahoo 知恵袋



平方根 ルート 分数の分母の有理化のやり方がわかる3つのステップ Qikeru 学びを楽しくわかりやすく



1



中3数学 平方根 苦手な有理化を10分で克服 たけのこ塾 勉強が苦手な中学生のやる気をのばす



分母の有理化 分数の平方根で分母のルートを消すやり方 リョースケ大学



平方根とは 東大生が平方根の計算方法や覚え方を伝授 高校生向け受験応援メディア 受験のミカタ



有理化なんですけど なんでマイナスをつけるんですか 2枚目が私の考えたやつです Clear



平方根 ルート 分数の分母の有理化のやり方がわかる3つのステップ Qikeru 学びを楽しくわかりやすく



なぜ中学の数学で分母を有理化する必要があるのですか 問題を解いていても Yahoo 知恵袋



高校数学 今年から高二の者です 三角比の問題なのですが 回答が有理 数学 教えて Goo



ルートの計算で分数の分母を有理化しないといけない理由とは さびねこ中学校



平方根 ルート 分数の分母の有理化のやり方がわかる3つのステップ Qikeru 学びを楽しくわかりやすく

